Официальное опубликование правовых актов
ОФИЦИАЛЬНОЕ ОПУБЛИКОВАНИЕ
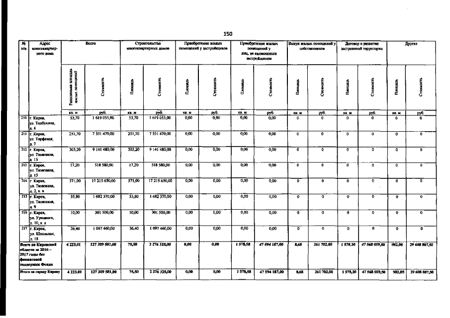
Постановление Правительства Кировской области от 06.02.2018 № 74-П
"О внесении изменений в постановление Правительства Кировской области от 18.06.2013 № 213/365"
Номер опубликования: 4300201802130001
Дата опубликования: 13.02.2018
Страница №152 из 199:
Увеличить