Официальное опубликование правовых актов
ОФИЦИАЛЬНОЕ ОПУБЛИКОВАНИЕ
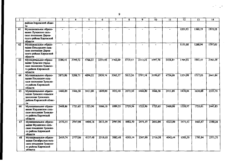
Постановление Правительства Кировской области от 20.11.2017 № 81-П
"О внесении изменения в постановление Правительства Кировской области от 09.06.2017 № 299-П"
Номер опубликования: 4300201711240007
Дата опубликования: 24.11.2017
Страница №10 из 41:
Увеличить