Официальное опубликование правовых актов
ОФИЦИАЛЬНОЕ ОПУБЛИКОВАНИЕ
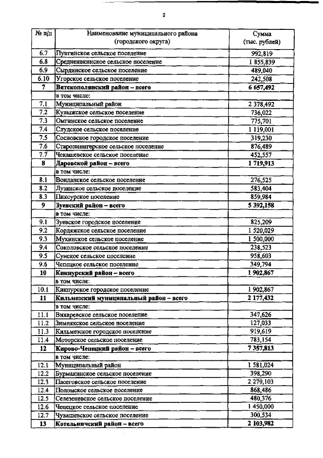
Закон Кировской области от 27.10.2017 № 104-ЗО
"О внесении изменений в Закон Кировской области "Об областном бюджете на 2017 год и на плановый период 2018 и 2019 годов"
Номер опубликования: 4300201710300001
Дата опубликования: 30.10.2017
Страница №173 из 192:
Увеличить