Официальное опубликование правовых актов
ОФИЦИАЛЬНОЕ ОПУБЛИКОВАНИЕ
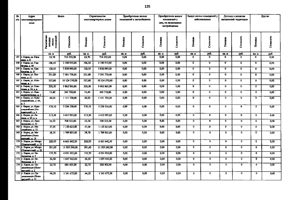
Постановление Правительства Кировской области от 23.10.2017 № 39-П
"О внесении изменений в постановление Правительства Кировской области от 18.06.2013 № 213/365"
Номер опубликования: 4300201710260002
Дата опубликования: 26.10.2017
Страница №136 из 198:
Увеличить