Официальное опубликование правовых актов
ОФИЦИАЛЬНОЕ ОПУБЛИКОВАНИЕ
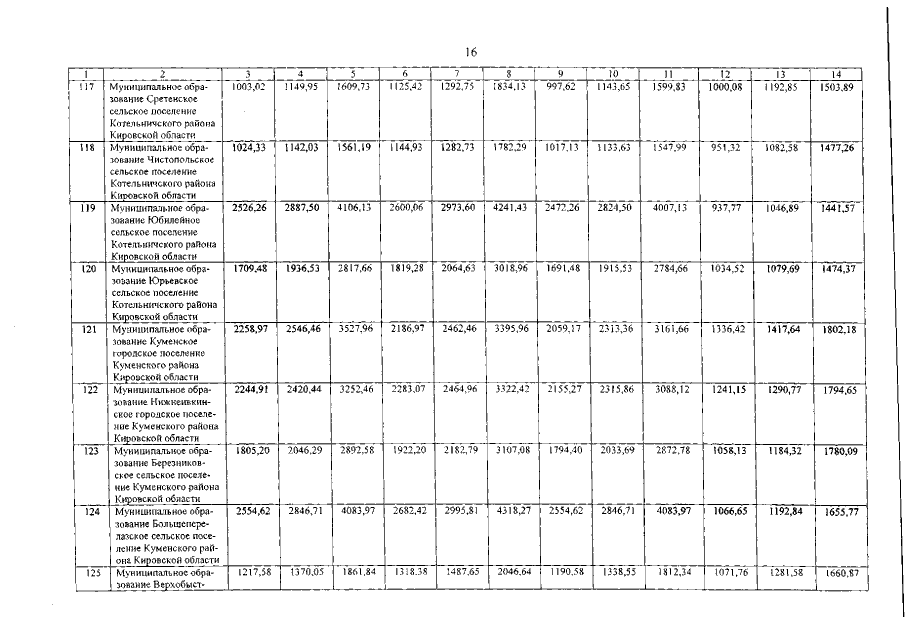
Постановление Правительства Кировской области от 18.08.2016 № 4/50
"О внесении изменения в постановление Правительства Кировской области от 16.02.2016 № 85/57"
Номер опубликования: 4300201608220009
Дата опубликования: 22.08.2016
Страница №17 из 41:
Увеличить