Постановление Правительства Кировской области от 13.04.2016 № 94/233
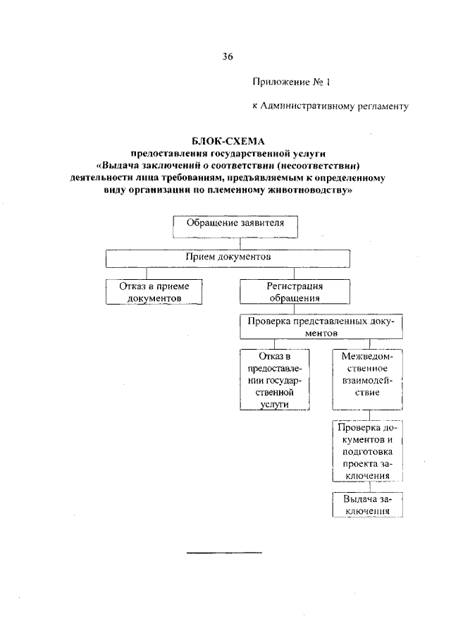
"Об утверждении Административного регламента предоставления государственной услуги "Выдача заключений о соответствии (несоответствии) деятельности лица требованиям, предъявляемым к определенному виду организации по племенному животноводству"
"Об утверждении Административного регламента предоставления государственной услуги "Выдача заключений о соответствии (несоответствии) деятельности лица требованиям, предъявляемым к определенному виду организации по племенному животноводству"
Номер опубликования: 4300201604150013
Дата опубликования:
15.04.2016
