Официальное опубликование правовых актов
ОФИЦИАЛЬНОЕ ОПУБЛИКОВАНИЕ
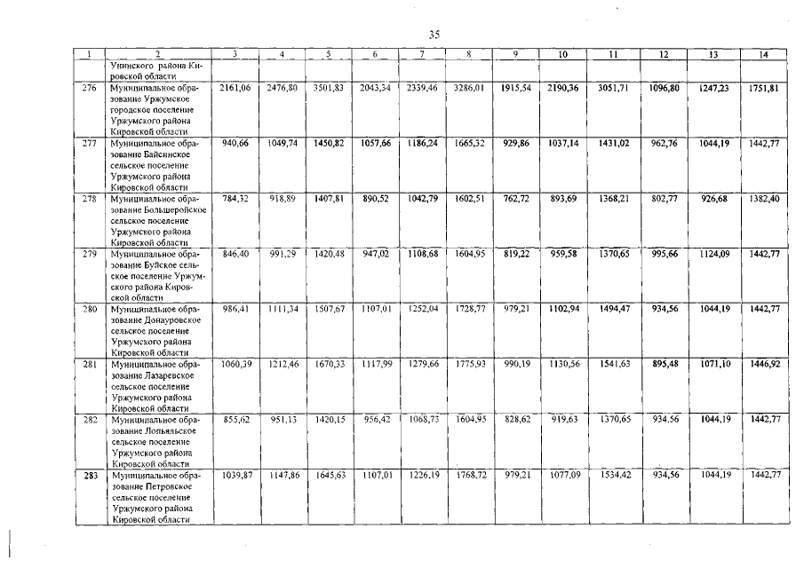
Постановление Правительства Кировской области от 16.02.2016 № 85/57
"Об установлении областного стандарта стоимости жилищно-коммунальных услуг для предоставления субсидий на оплату жилого помещения и коммунальных услуг по муниципальным образованиям области на 2016 год"
Номер опубликования: 4300201602170011
Дата опубликования: 17.02.2016
Страница №37 из 43:
Увеличить