Официальное опубликование правовых актов
ОФИЦИАЛЬНОЕ ОПУБЛИКОВАНИЕ
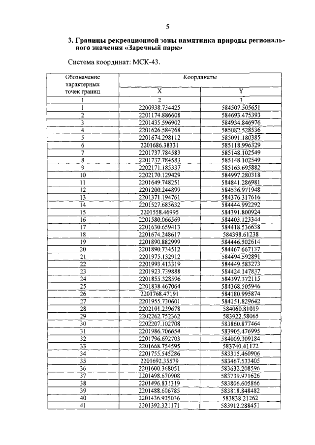
Постановление Правительства Кировской области от 08.12.2015 № 73/812
"Об утверждении границ и режима особой охраны территории памятника природы регионального значения "Заречный парк"
Номер опубликования: 4300201512110005
Дата опубликования: 11.12.2015
Страница №6 из 13:
Увеличить