Официальное опубликование правовых актов
ОФИЦИАЛЬНОЕ ОПУБЛИКОВАНИЕ
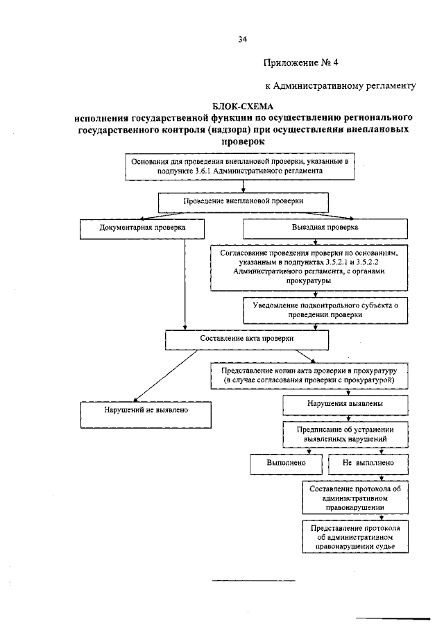
Постановление Правительства Кировской области от 17.11.2015 № 70/758
"Об утверждении Административного регламента исполнения министерством социального развития Кировской области государственной функции по осуществлению регионального государственного контроля (надзора) в сфере социального обслуживания"
Номер опубликования: 4300201511190013
Дата опубликования: 19.11.2015
Страница №35 из 43:
Увеличить