Официальное опубликование правовых актов
ОФИЦИАЛЬНОЕ ОПУБЛИКОВАНИЕ
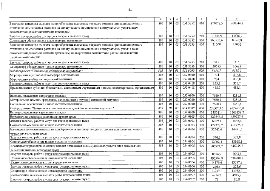
Закон Кировской области от 25.06.2015 № 551-ЗО
"О внесении изменений в Закон Кировской области "Об областном бюджете на 2015 год и на плановый период 2016 и 2017 годов"
Номер опубликования: 4300201506260008
Дата опубликования: 26.06.2015
Страница №255 из 331:
Увеличить