Официальное опубликование правовых актов
ОФИЦИАЛЬНОЕ ОПУБЛИКОВАНИЕ
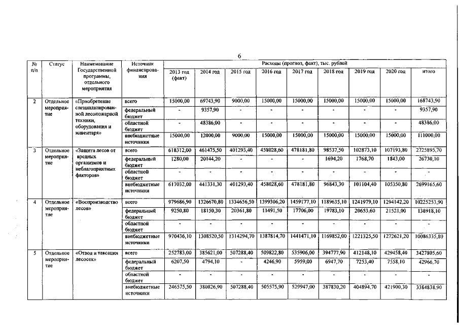
Постановление Правительства Кировской области от 02.02.2015 № 23/63
"О внесении изменений в постановление Правительства Кировской области от 28.12.2012 № 189/837"
Номер опубликования: 4300201502060007
Дата опубликования: 06.02.2015
Страница №7 из 8:
Увеличить