Официальное опубликование правовых актов
ОФИЦИАЛЬНОЕ ОПУБЛИКОВАНИЕ
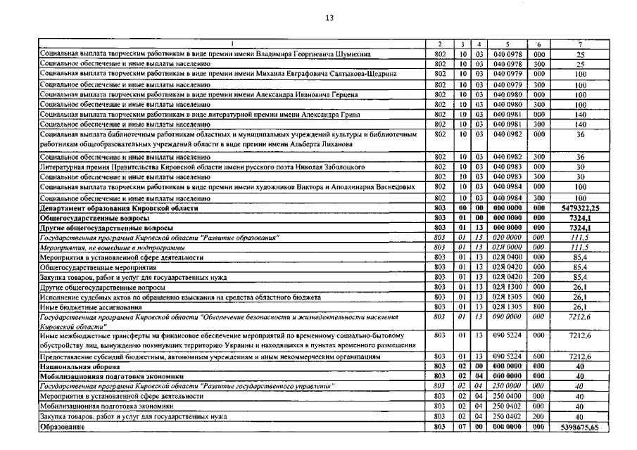
Закон Кировской области от 19.12.2014 № 488-ЗО
"О внесении изменений в Закон Кировской области "Об областном бюджете на 2014 год и на плановый период 2015 и 2016 годов"
Номер опубликования: 4300201412220006
Дата опубликования: 22.12.2014
Страница №95 из 215:
Увеличить