Официальное опубликование правовых актов
ОФИЦИАЛЬНОЕ ОПУБЛИКОВАНИЕ
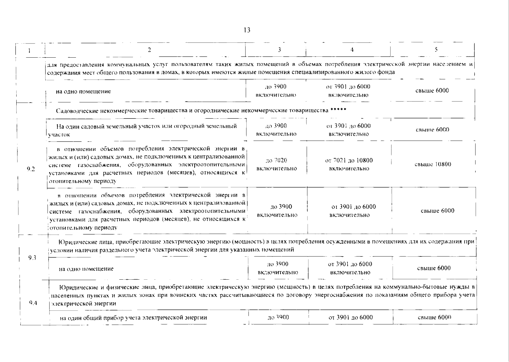
Постановление Региональной энергетической комиссии Кузбасса от 30.12.2025 № 919
"Об установлении диапазонов объемов потребления электрической энергии (мощности) и понижающих коэффициентов при установлении тарифов на электрическую энергию для населения и приравненных к нему категорий потребителей Кемеровской области - Кузбасса на 2026 год"
(Зарегистрирован 30.12.2025 № 17492524224)
Номер опубликования: 4201202601050023
Дата опубликования: 05.01.2026
Страница №13 из 22:
Увеличить