Официальное опубликование правовых актов
ОФИЦИАЛЬНОЕ ОПУБЛИКОВАНИЕ
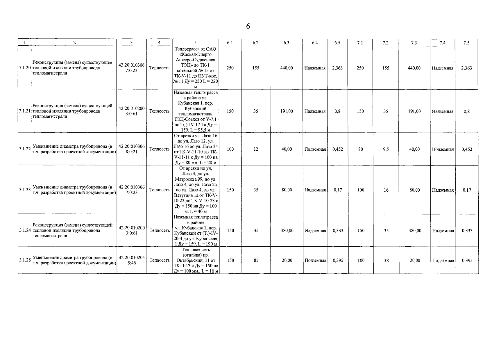
Постановление Региональной энергетической комиссии Кузбасса от 19.12.2025 № 633
"О внесении изменений в постановление региональной энергетической комиссии Кемеровской области от 30.10.2018 № 307 "Об утверждении инвестиционной программы ООО "Новая сетевая компания" (Анжеро-Судженский городской округ) в сфере теплоснабжения на 2019 - 2025 годы"
(Зарегистрирован 20.12.2025 № 14612524224 )
Номер опубликования: 4201202512250006
Дата опубликования: 25.12.2025
Страница №6 из 23:
Увеличить