Официальное опубликование правовых актов
ОФИЦИАЛЬНОЕ ОПУБЛИКОВАНИЕ
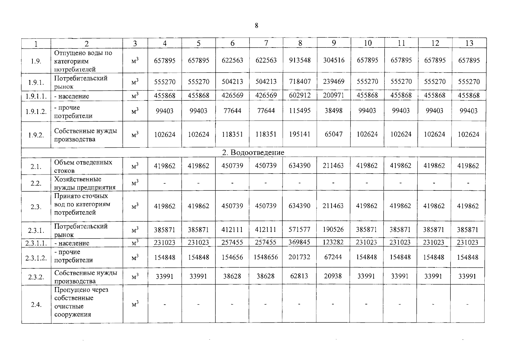
Постановление Региональной энергетической комиссии Кузбасса от 16.12.2025 № 520
"О внесении изменений в постановление Региональной энергетической комиссии Кузбасса от 21.11.2023 № 336 "Об утверждении производственной программы в сфере холодного водоснабжения, водоотведения и об установлении тарифов на питьевую воду, водоотведение МКП "КТВС НМР" (Новокузнецкий муниципальный округ)" в части 2026 года"
(Зарегистрирован 17.12.2025 № 13462524224)
Номер опубликования: 4201202512220020
Дата опубликования: 22.12.2025
Страница №8 из 27:
Увеличить