Официальное опубликование правовых актов
ОФИЦИАЛЬНОЕ ОПУБЛИКОВАНИЕ
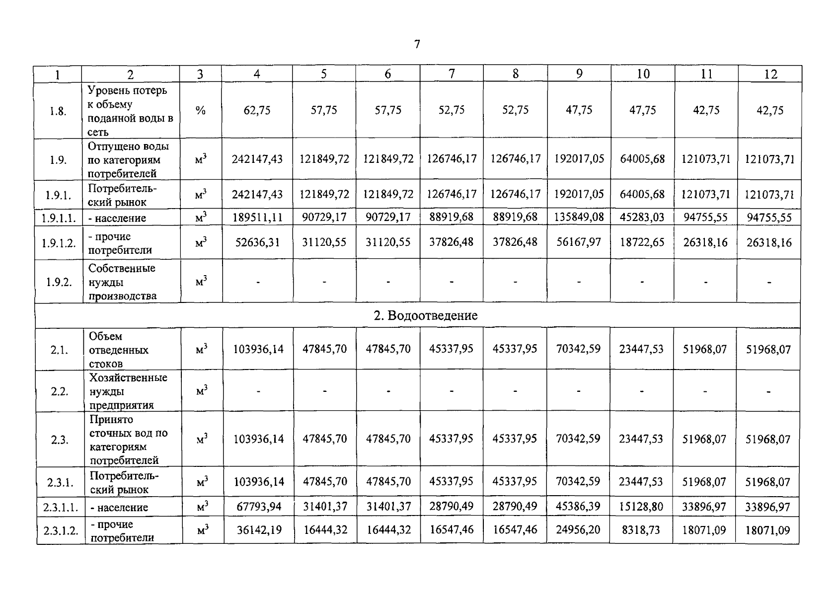
Постановление Региональной энергетической комиссии Кузбасса от 11.12.2025 № 459
"О внесении изменений в постановление Региональной энергетической комиссии Кузбасса от 24.11.2022 № 389 "Об утверждении производственной программы в сфере холодного водоснабжения, водоотведения и об установлении тарифов на питьевую воду, водоотведение Муниципальному казенному предприятию Новокузнецкого городского округа "Водопроводно-канализационное хозяйство" (Новокузнецкий городской округ)" в части 2026 года"
(Зарегистрирован 12.12.2025 № 12962524224)
Номер опубликования: 4201202512180002
Дата опубликования: 18.12.2025
Страница №7 из 21:
Увеличить