Официальное опубликование правовых актов
ОФИЦИАЛЬНОЕ ОПУБЛИКОВАНИЕ
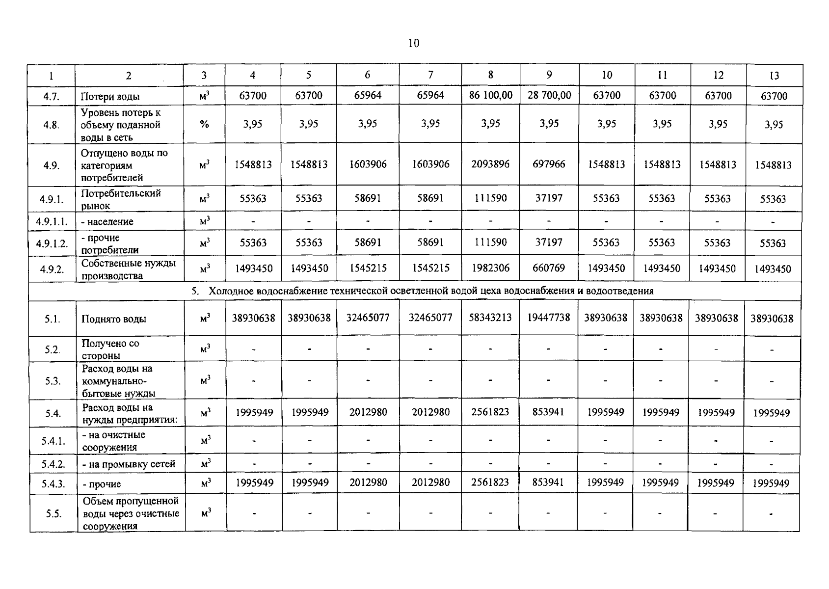
Постановление Региональной энергетической комиссии Кузбасса от 11.12.2025 № 457
"О внесении изменений в постановление Региональной энергетической комиссии Кузбасса от 23.11.2023 № 370 "Об утверждении производственной программы в сфере холодного водоснабжения, водоотведения и об установлении тарифов на питьевую воду, техническую воду, водоотведение АО "ЕВРАЗ Объединенный Западно-Сибирский металлургический комбинат" (Новокузнецкий городской округ)"
(Зарегистрирован 12.12.2025 № 12932524224)
Номер опубликования: 4201202512170002
Дата опубликования: 17.12.2025
Страница №10 из 44:
Увеличить