Официальное опубликование правовых актов
ОФИЦИАЛЬНОЕ ОПУБЛИКОВАНИЕ
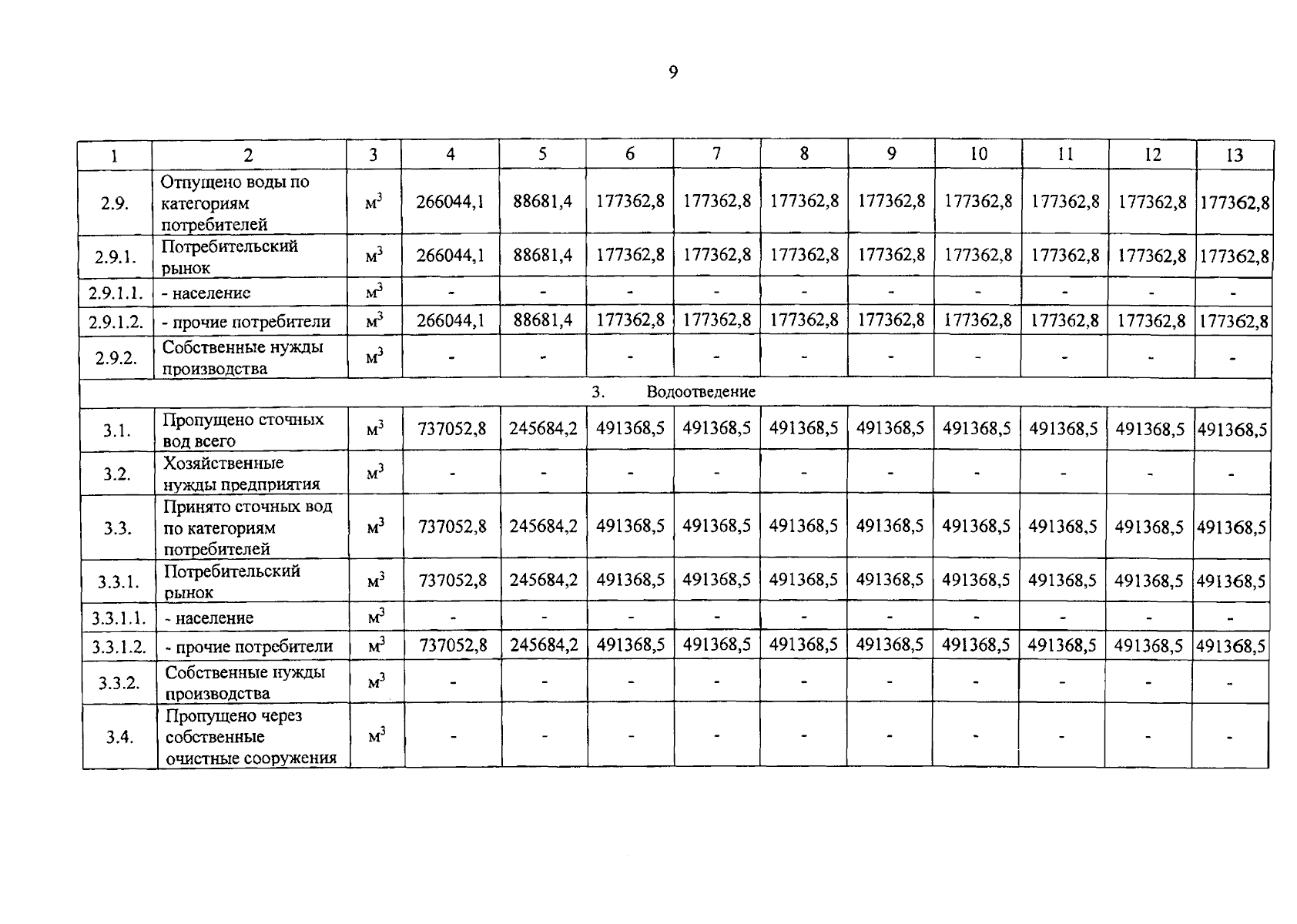
Постановление Региональной энергетической комиссии Кузбасса от 09.12.2025 № 424
"Об утверждении производственной программы в сфере холодного водоснабжения, водоотведения и об установлении тарифов на питьевую воду (подъем и водоподготовка), транспортировку технической воды (перекачка технической воды через водопроводно-повысительную станцию), транспортировку сточных вод (перекачка стоков через насосные перекачивающие станции) ООО "СибДорСтрой" (г. Топки Топкинского муниципального округа)"
(Зарегистрирован 10.12.2025 № 12202524224)
Номер опубликования: 4201202512160026
Дата опубликования: 16.12.2025
Страница №9 из 22:
Увеличить