Официальное опубликование правовых актов
ОФИЦИАЛЬНОЕ ОПУБЛИКОВАНИЕ
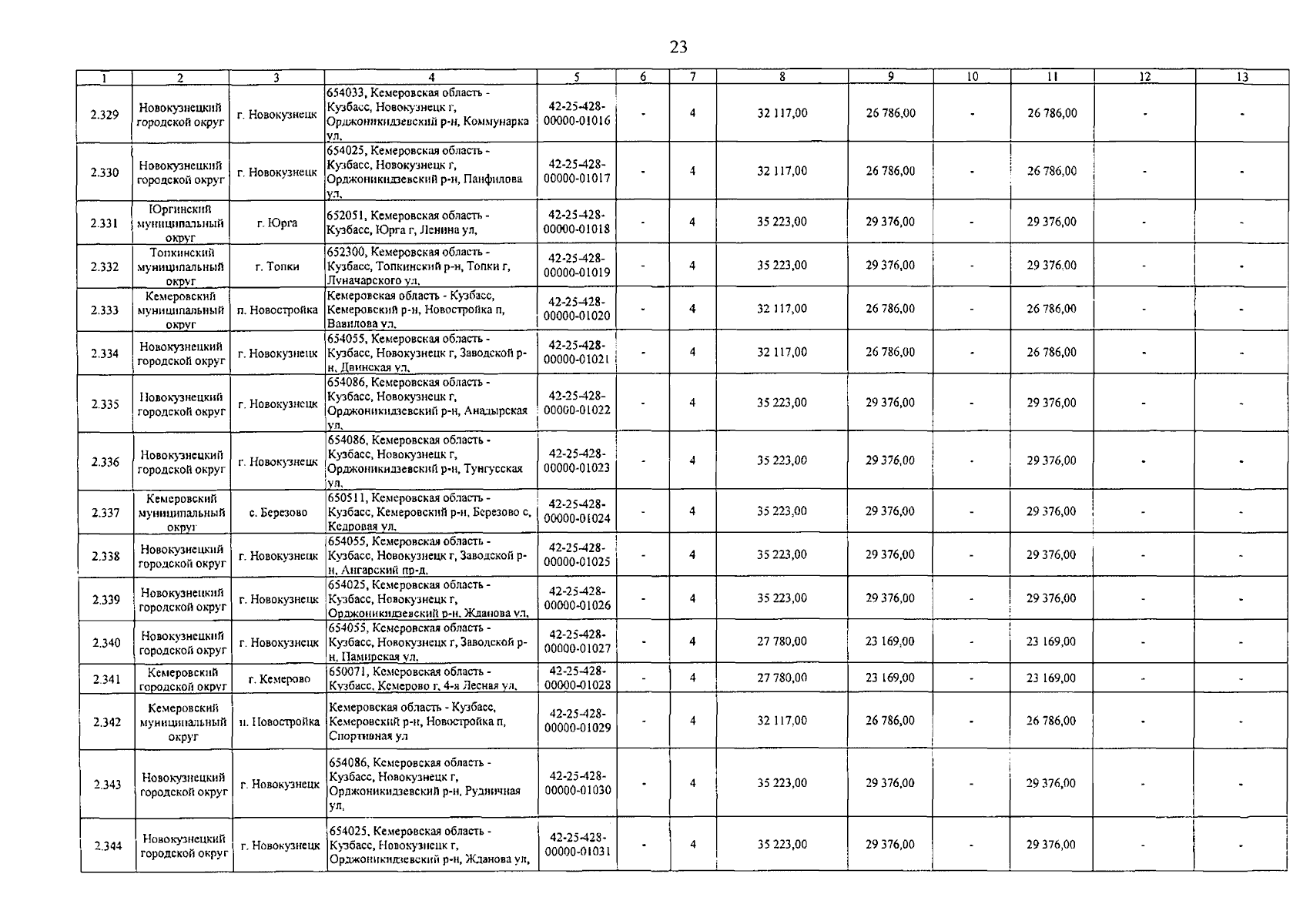
Постановление Региональной энергетической комиссии Кузбасса от 20.11.2025 № 361
"Об утверждении размера экономически обоснованных расходов на выполнение мероприятий, подлежащих осуществлению в ходе технологического присоединения к газораспределительным сетям ООО "Газпром газораспределение Сибирь" на территории Кемеровской области - Кузбасса за 3 квартал 2025 года"
(Зарегистрирован 21.11.2025 № 11902524224)
Номер опубликования: 4201202511240017
Дата опубликования: 24.11.2025
Страница №23 из 26:
Увеличить