Постановление Региональной энергетической комиссии Кузбасса от 20.11.2025 № 355
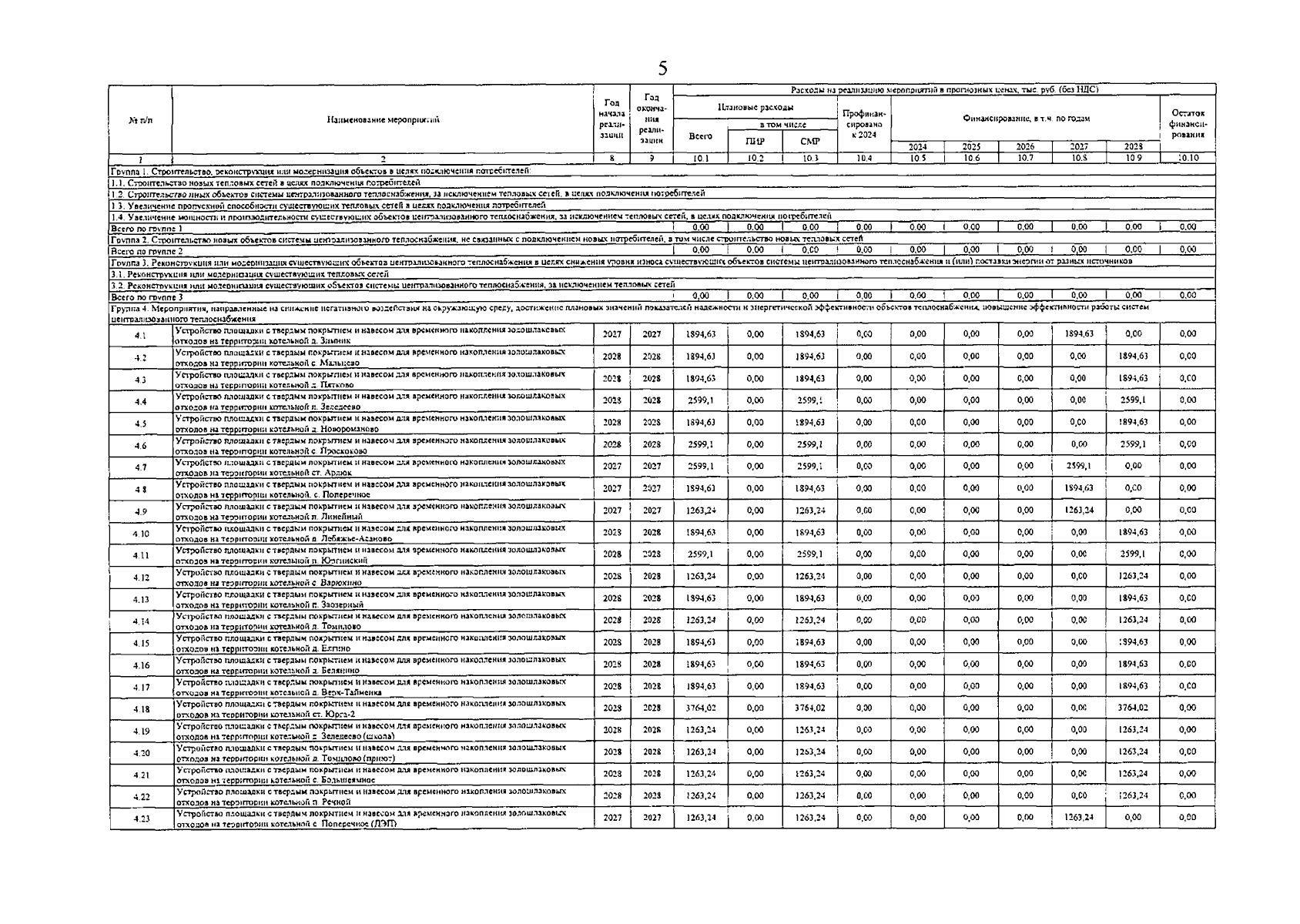
"О внесении изменений в постановление Региональной энергетической комиссии Кузбасса от 03.11.2023 № 235 "Об утверждении МУП "Комфорт" инвестиционной программы в сфере теплоснабжения на 2024 - 2028 годы"
(Зарегистрирован 21.11.2025 № 11842524224)
"О внесении изменений в постановление Региональной энергетической комиссии Кузбасса от 03.11.2023 № 235 "Об утверждении МУП "Комфорт" инвестиционной программы в сфере теплоснабжения на 2024 - 2028 годы"
(Зарегистрирован 21.11.2025 № 11842524224)
Номер опубликования: 4201202511240010
Дата опубликования:
24.11.2025
