Официальное опубликование правовых актов
ОФИЦИАЛЬНОЕ ОПУБЛИКОВАНИЕ
Постановление Региональной энергетической комиссии Кузбасса от 20.11.2025 № 365
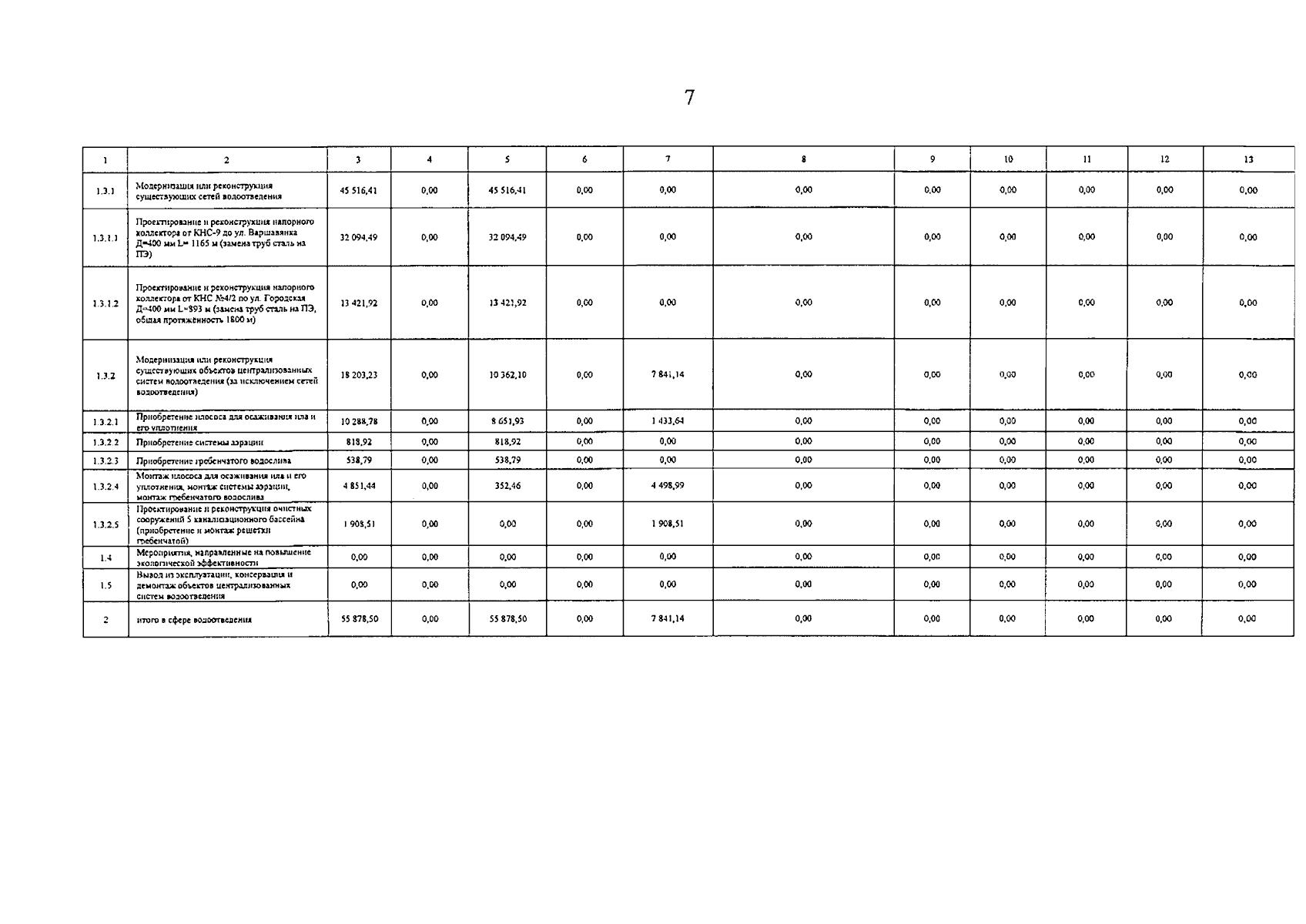
"О внесении изменений в постановление Региональной энергетической комиссии Кузбасса от 05.12.2023 № 484 "Об утверждении инвестиционной программы АО "ПО Водоканал" в сфере водоотведения на территории Прокопьевского городского округа на 2024-2028 годы"
(Зарегистрирован 21.11.2025 № 11942524224)
Номер опубликования: 4201202511240003
Дата опубликования: 24.11.2025
Страница №7 из 10:
Увеличить