Официальное опубликование правовых актов
ОФИЦИАЛЬНОЕ ОПУБЛИКОВАНИЕ
Приказ Министерства физической культуры и спорта Кузбасса от 30.07.2025 № 644-ОД
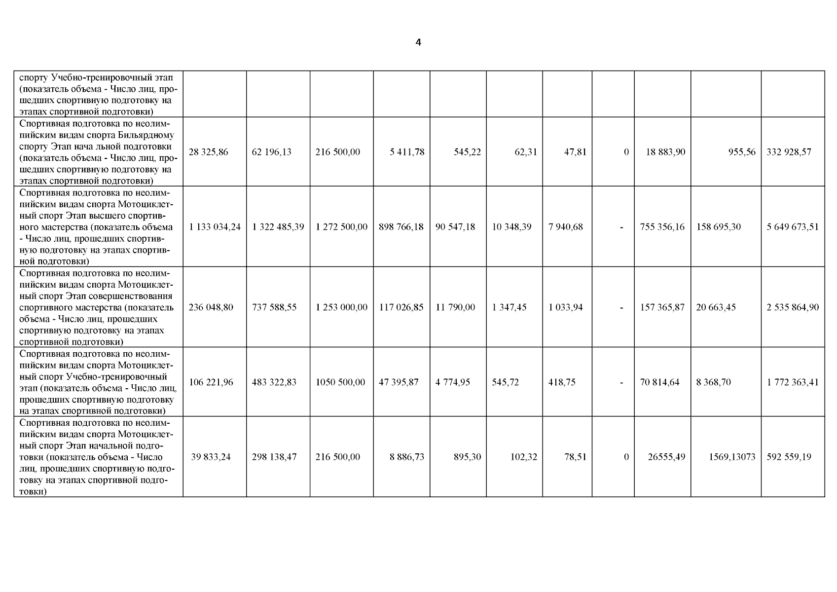
"О внесении изменений в приказ Министерства физической культуры и спорта Кузбасса от 20.03.2025 № 523-ОД "Об утверждении значений базовых нормативов затрат, значений отраслевых корректирующих коэффициентов и значений натуральных норм, необходимых для определения базовых нормативов затрат на оказание государственных услуг в сфере физической культуры и спорта, применяемых при расчете объема финансового обеспечения выполнения государственного задания на оказание государственных услуг государственными учреждениями, подведомственными Министерству физической культуры и спорта Кузбасса"
(Зарегистрирован 31.07.2025 № 00552514207)
Номер опубликования: 4201202508040005
Дата опубликования: 04.08.2025
Страница №4 из 49:
Увеличить