Официальное опубликование правовых актов
ОФИЦИАЛЬНОЕ ОПУБЛИКОВАНИЕ
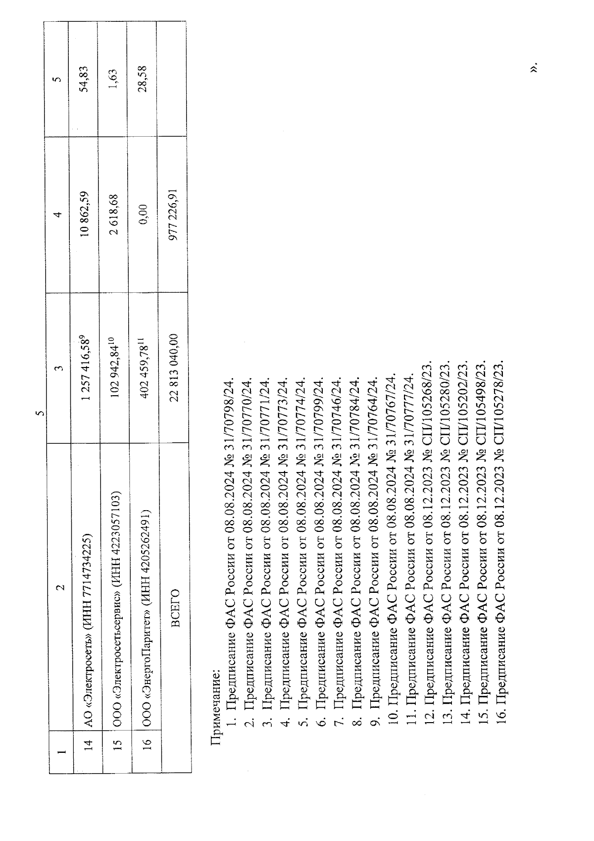
Постановление Региональной энергетической комиссии Кузбасса от 01.10.2024 № 228
"О внесении изменений в постановление Региональной энергетической комиссии Кузбасса от 29.12.2023 № 780 "Об установлении тарифов на услуги по передаче электрической энергии по сетям Кемеровской области - Кузбасса, поставляемой потребителям на 2024 год"
(Зарегистрирован 02.10.2024 № 02302424224)
Номер опубликования: 4201202410090004
Дата опубликования: 09.10.2024
Страница №5 из 13:
Увеличить