Официальное опубликование правовых актов
ОФИЦИАЛЬНОЕ ОПУБЛИКОВАНИЕ
Постановление Региональной энергетической комиссии Кузбасса от 19.03.2024 № 52
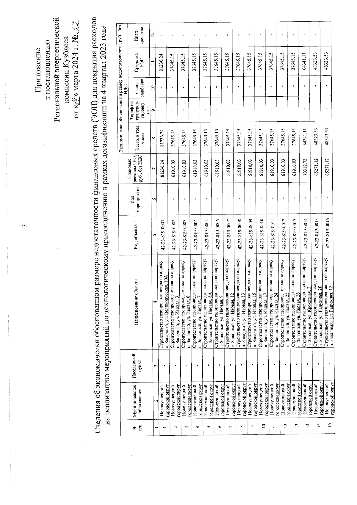
"Об определении экономически обоснованного размера недостаточности финансовых средств газораспределительной организации для покрытия расходов на реализацию мероприятий по технологическому присоединению в рамках догазификации для ООО "Сибгаз-Эксплуатация" на 4 квартал 2023 года"
(Зарегистрирован 19.03.2024 № 00542424224)
Номер опубликования: 4201202403250004
Дата опубликования: 25.03.2024
Страница №3 из 4:
Увеличить