Официальное опубликование правовых актов
ОФИЦИАЛЬНОЕ ОПУБЛИКОВАНИЕ
Постановление Региональной энергетической комиссии Кузбасса от 12.10.2023 № 174
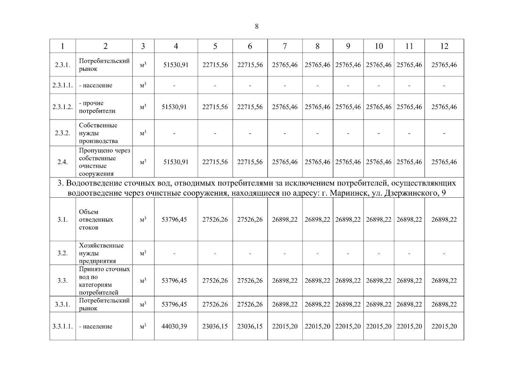
"О внесении изменений в постановление Региональной энергетической комиссии Кузбасса от 28.11.2022 № 767 «Об утверждении производственной программы в сфере холодного водоснабжения, водоотведения и об установлении тарифов на питьевую воду, водоотведение муниципальному казенному предприятию Мариинского муниципального округа «Ресурс» (Мариинский муниципальный округ)» в части 2024 года"
(Зарегистрирован 12.10.2023 № 04342324224)
Номер опубликования: 4201202310160019
Дата опубликования: 16.10.2023
Страница №8 из 23:
Увеличить