Официальное опубликование правовых актов
ОФИЦИАЛЬНОЕ ОПУБЛИКОВАНИЕ
Постановление Региональной энергетической комиссии Кузбасса от 06.07.2023 № 73
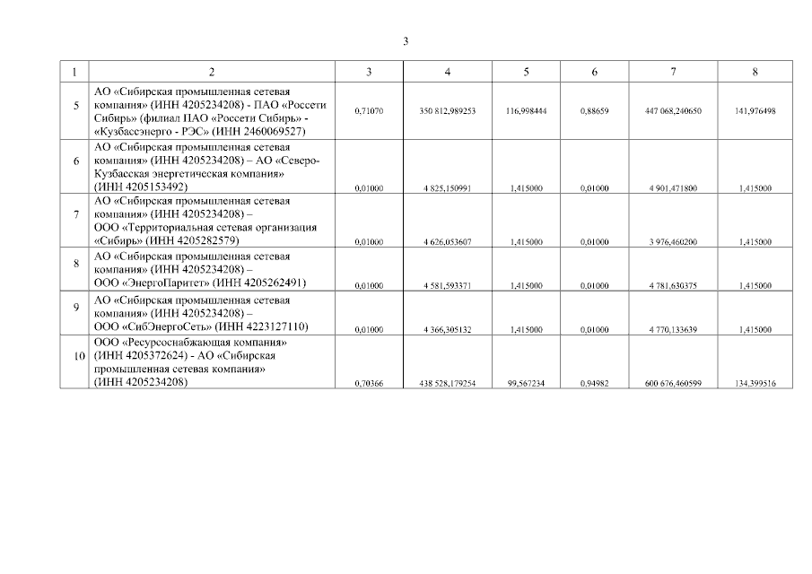
"Об установлении индивидуальных тарифов на услуги по передаче электрической энергии для взаиморасчетов между АО "Сибирская промышленная сетевая компания" и сетевыми организациями Кемеровской области - Кузбасса на 2022 год"
(Зарегистрирован 06.07.2023 № 02272324224)
Номер опубликования: 4201202307120005
Дата опубликования: 12.07.2023
Страница №3 из 3:
Увеличить