Официальное опубликование правовых актов
ОФИЦИАЛЬНОЕ ОПУБЛИКОВАНИЕ
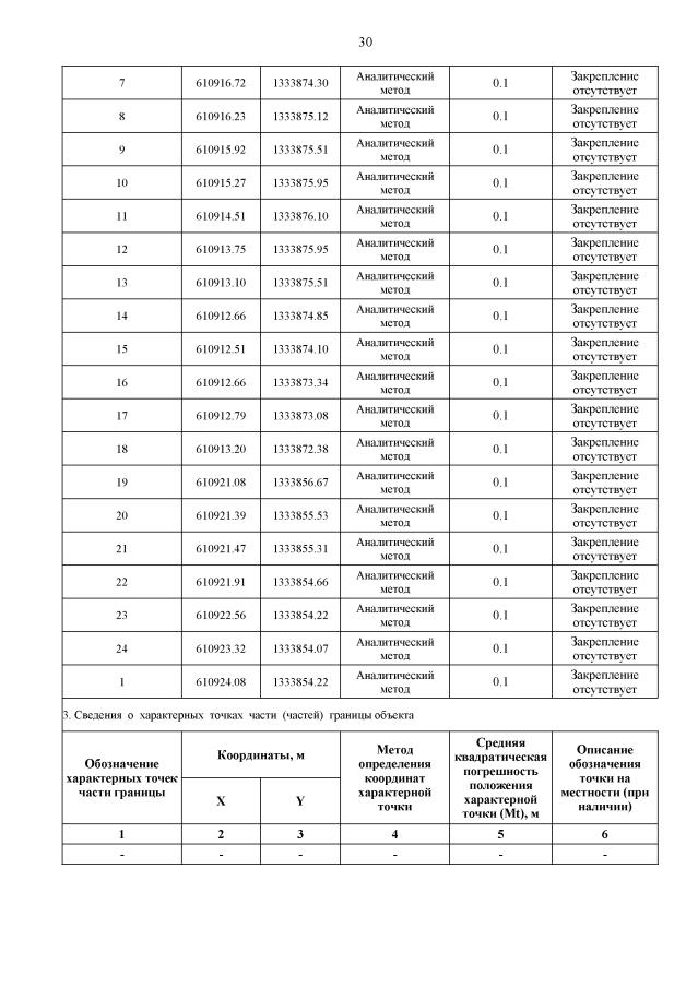
Приказ Министерства промышленности и торговли Кузбасса от 17.05.2023 № 01-05/86
"Об утверждении границ охранных зон существующих газораспределительных сетей и наложении ограничений (обременений) на входящие в них земельные участки"
(Зарегистрирован 17.05.2023 № 01552314214)
Номер опубликования: 4201202305180003
Дата опубликования: 18.05.2023
Страница №30 из 66:
Увеличить