Официальное опубликование правовых актов
ОФИЦИАЛЬНОЕ ОПУБЛИКОВАНИЕ
Постановление Региональной энергетической комиссии Кузбасса от 27.03.2023 № 25
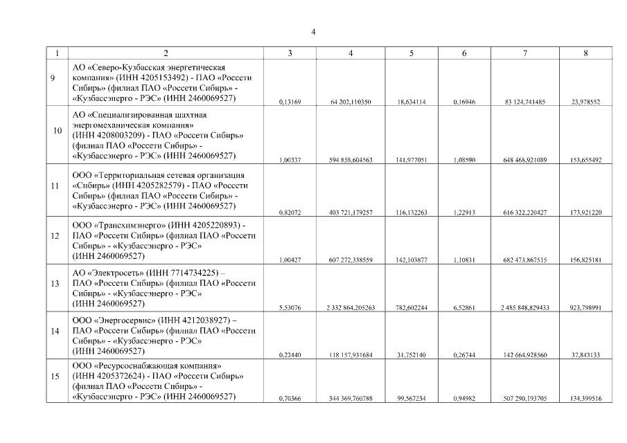
"Об установлении индивидуальных тарифов на услуги по передаче электрической энергии для взаиморасчетов ПАО "Россети Сибири" (филиал ПАО "Россети Сибирь" - "Кузбассэнерго - РЭС") с сетевыми организациями Кемеровской области - Кузбасса на 2022 год"
(Зарегистрирован 27.03.2023 № 00952324224)
Номер опубликования: 4201202303290003
Дата опубликования: 29.03.2023
Страница №4 из 5:
Увеличить