Официальное опубликование правовых актов
ОФИЦИАЛЬНОЕ ОПУБЛИКОВАНИЕ
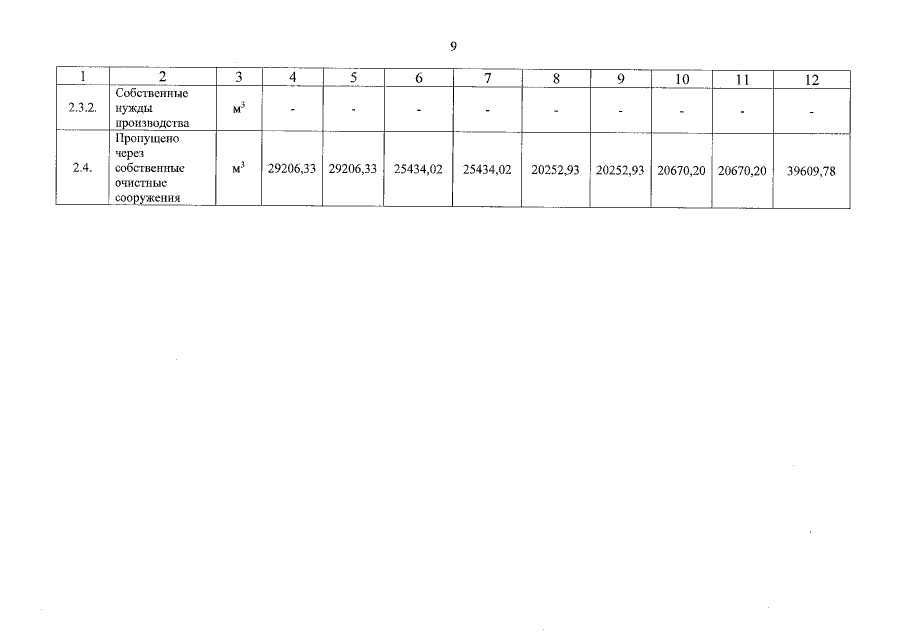
Постановление Региональной энергетической комиссии Кузбасса от 24.11.2022 № 398
"О внесении изменений в постановление региональной энергетической комиссии Кемеровской области от 25.10.2018 № 279 "Об утверждении производственной программы в сфере холодного водоснабжения питьевой водой, водоотведения и об установлении тарифов на питьевую воду, водоотведение ОАО "РЖД" (Центральная дирекция по тепловодоснабжению Западно-Сибирская дирекция по тепловодоснабжению Кузбасский территориальный участок) (Кемеровский городской округ)"
Номер опубликования: 4201202212010039
Дата опубликования: 01.12.2022
Страница №9 из 22:
Увеличить