Официальное опубликование правовых актов
ОФИЦИАЛЬНОЕ ОПУБЛИКОВАНИЕ
Постановление Региональной энергетической комиссии Кузбасса от 31.10.2022 № 329
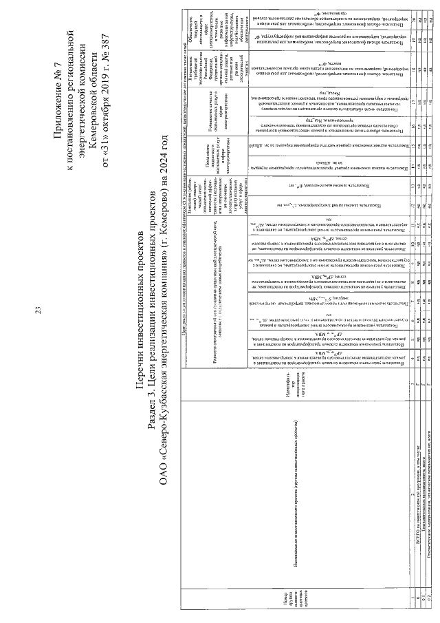
"О внесении изменений в постановление региональной энергетической комиссии Кемеровской области от 31.10.2019 № 387 "Об утверждении инвестиционной программы ОАО "Северо-Кузбасская энергетическая компания" (г. Кемерово) на период 2020 - 2024 гг."
Номер опубликования: 4201202211070025
Дата опубликования: 07.11.2022
Страница №23 из 43:
Увеличить