Официальное опубликование правовых актов
ОФИЦИАЛЬНОЕ ОПУБЛИКОВАНИЕ
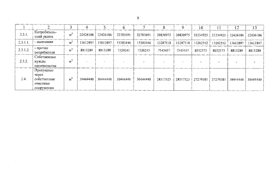
Постановление Региональной энергетической комиссии Кузбасса от 02.12.2021 № 607
"О внесении изменений в постановление региональной энергетической комиссии Кемеровской области от 19.12.2018 № 602 "Об утверждении производственной программы в сфере холодного водоснабжения питьевой водой, водоотведения и об установлении тарифов на питьевую воду, водоотведение ООО "Водоканал" (Новокузнецкий городской округ)" в части 2022 года"
Номер опубликования: 4201202112100014
Дата опубликования: 10.12.2021
Страница №8 из 21:
Увеличить