Официальное опубликование правовых актов
ОФИЦИАЛЬНОЕ ОПУБЛИКОВАНИЕ
Постановление Региональной энергетической комиссии Кузбасса от 02.12.2021 № 608
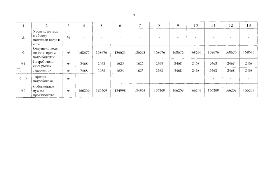
"О внесении изменений в постановление региональной энергетической комиссии Кемеровской области от 30.10.2018 № 291 "Об утверждении производственной программыв сфере холодного водоснабжения и об установлении тарифов на питьевую воду АО "ЦОФ "Березовская" (Березовский городской округ)" в части 2022 года"
Номер опубликования: 4201202112100012
Дата опубликования: 10.12.2021
Страница №7 из 17:
Увеличить