Официальное опубликование правовых актов
ОФИЦИАЛЬНОЕ ОПУБЛИКОВАНИЕ
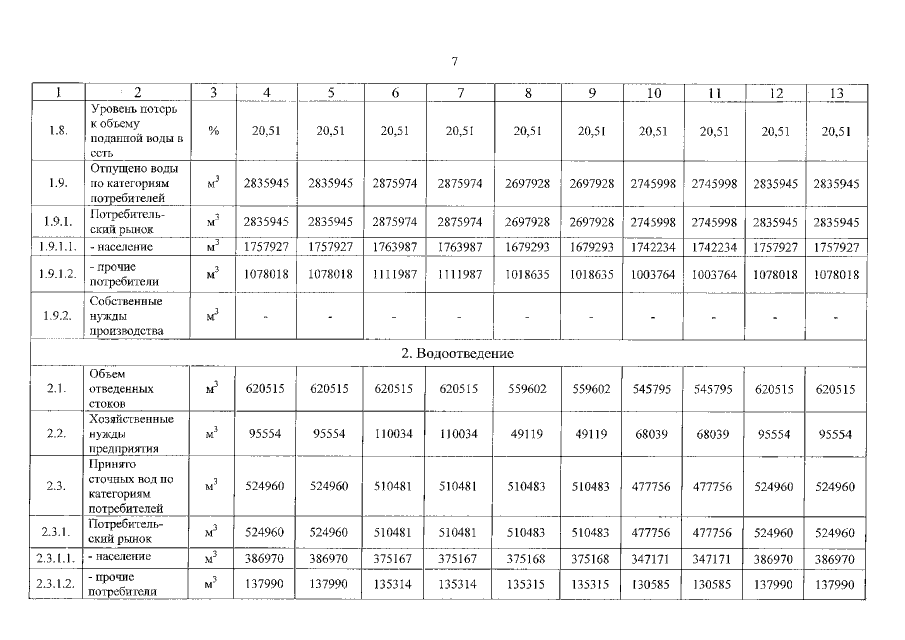
Постановление Региональной энергетической комиссии Кузбасса от 23.11.2021 № 569
"О внесении изменений в постановление региональной энергетической комиссии Кемеровской области от 19.12.2018 № 598 "Об утверждении производственной программыв сфере холодного водоснабжения, водоотведенияи об установлении тарифов на питьевую воду, водоотведениеООО "Водоснабжение" (Беловский городской округ)" в части 2022 года"
Номер опубликования: 4201202111290004
Дата опубликования: 29.11.2021
Страница №7 из 21:
Увеличить