Официальное опубликование правовых актов
ОФИЦИАЛЬНОЕ ОПУБЛИКОВАНИЕ
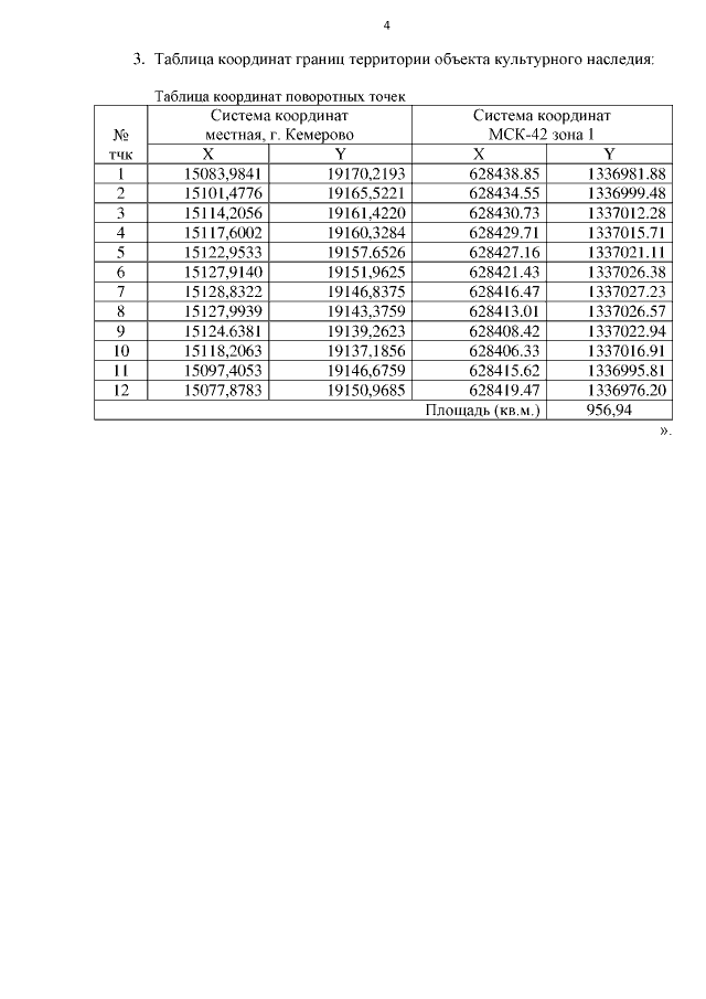
Приказ Комитета по охране объектов культурного наследия Кузбасса от 13.07.2021 № 205
"О внесении изменения в приказ Комитета по охране объектов культурного наследия Кузбасса от 17.05.2021 № 180 "Об утверждении особенностей объекта культурного наследия регионального значения "Братская могила воинов, умерших от ран в годы Великой Отечественной войны. Обелиск", подлежащих обязательному сохранению (предмет охраны), границ его территории и требований к осуществлению деятельности в границах его территории"
Номер опубликования: 4201202107160004
Дата опубликования: 16.07.2021
Страница №4 из 4:
Увеличить