Официальное опубликование правовых актов
ОФИЦИАЛЬНОЕ ОПУБЛИКОВАНИЕ
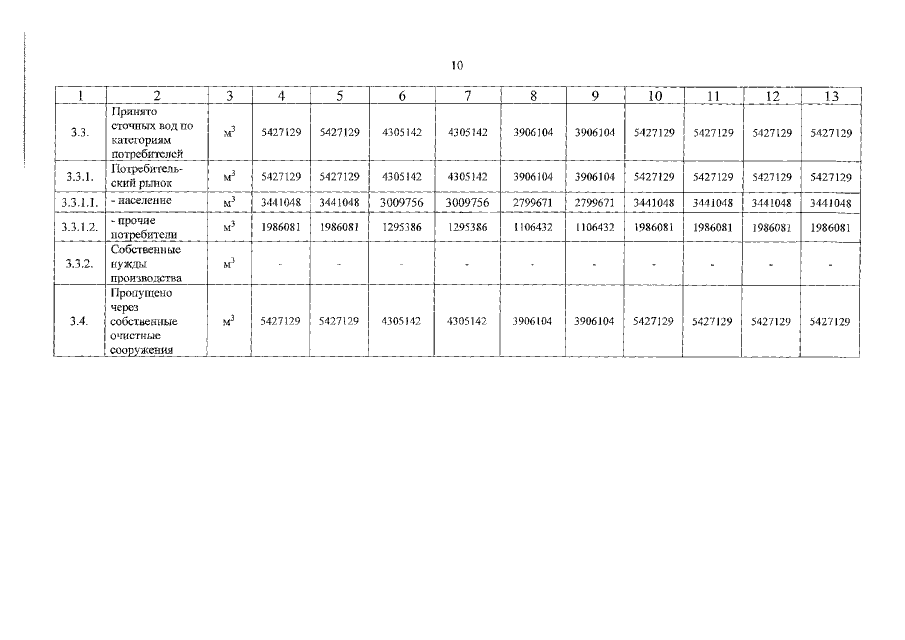
Постановление Региональной энергетической комиссии Кузбасса от 15.12.2020 № 567
"О внесении изменений в постановление региональной энергетической комиссии Кемеровской области от 07.12.2018 № 430 "Об утверждении производственной программы в сфере холодного водоснабжения питьевой водой, технической водой, водоотведения и об установлении тарифов на питьевую воду, техническую воду, водоотведение АО "ПО Водоканал" (г. Прокопьевск)" в части 2021 года"
Номер опубликования: 4201202012170021
Дата опубликования: 17.12.2020
Страница №10 из 24:
Увеличить