Официальное опубликование правовых актов
ОФИЦИАЛЬНОЕ ОПУБЛИКОВАНИЕ
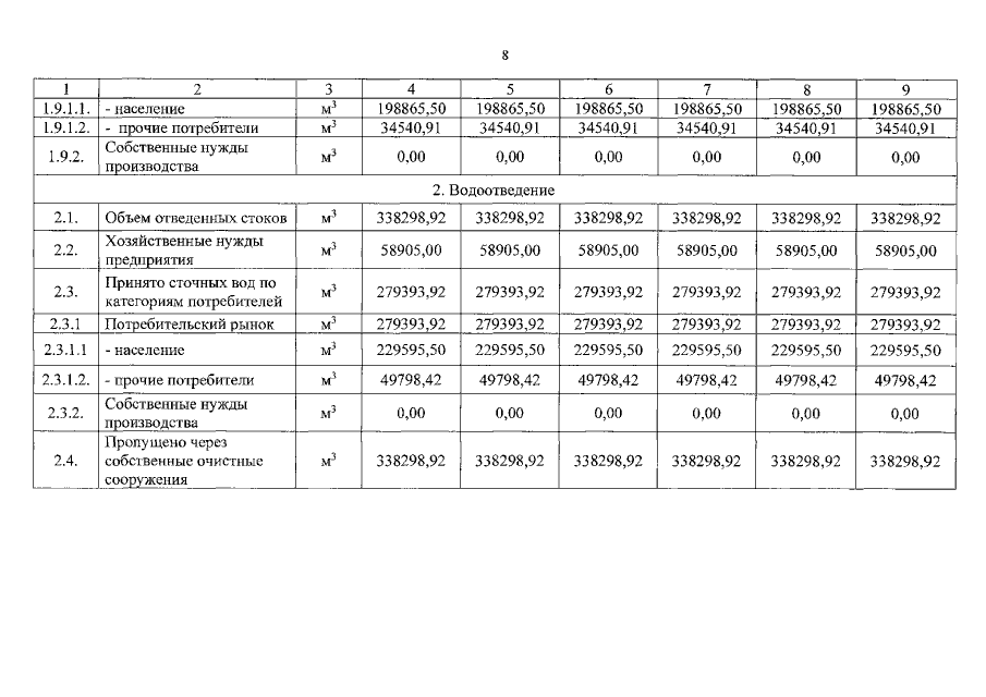
Постановление Региональной энергетической комиссии Кузбасса от 27.11.2020 № 461
"О внесении изменений в постановление региональной энергетической комиссии Кемеровской области от 20.12.2019 № 816 "Об утверждении производственной программы в сфере холодного водоснабжения, водоотведения и об установлении тарифов на питьевую воду, водоотведение Муниципальному унитарному предприятию "Гарант" Краснобродского городского округа (Краснобродский городской округ)" в части 2021 года"
Номер опубликования: 4201202012040029
Дата опубликования: 04.12.2020
Страница №8 из 19:
Увеличить