Официальное опубликование правовых актов
ОФИЦИАЛЬНОЕ ОПУБЛИКОВАНИЕ
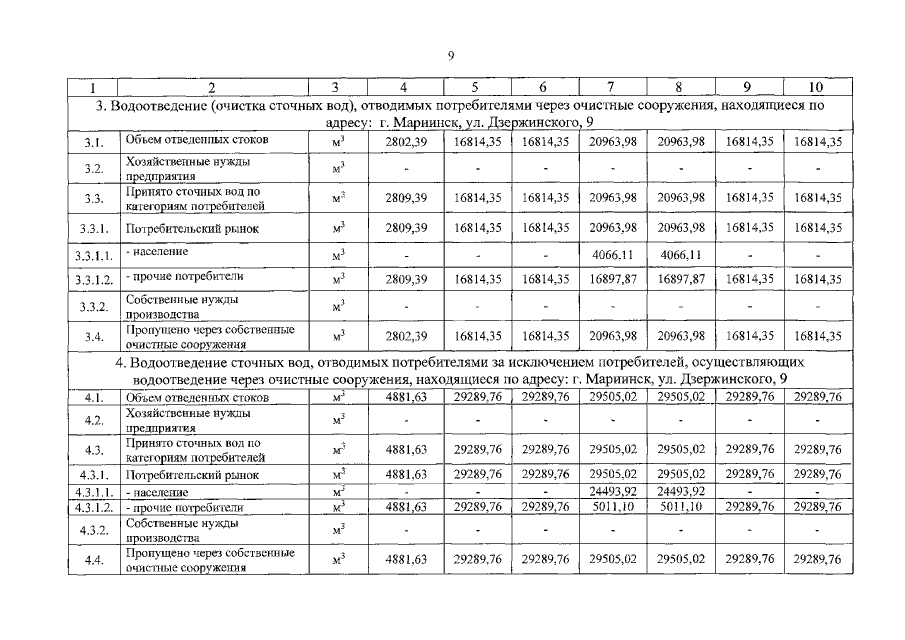
Постановление Региональной энергетической комиссии Кузбасса от 27.11.2020 № 458
"О внесении изменений в постановление региональной энергетической комиссии Кемеровской области от 28.11.2019 № 514 "Об утверждении производственной программы в сфере холодного водоснабжения, водоотведения и об установлении тарифов на питьевую воду, подвоз питьевой воды, водоотведение муниципальному казенному предприятию Мариинского муниципального района "Ресурс" (Мариинский муниципальный район)" в части 2021 года"
Номер опубликования: 4201202012040016
Дата опубликования: 04.12.2020
Страница №9 из 24:
Увеличить