Официальное опубликование правовых актов
ОФИЦИАЛЬНОЕ ОПУБЛИКОВАНИЕ
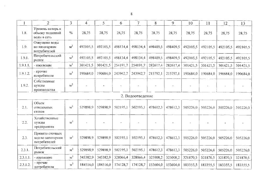
Постановление Региональной энергетической комиссии Кузбасса от 29.09.2020 № 243
"О внесении изменений в постановление региональной энергетической комиссии Кемеровской области от 25.10.2018 № 287 "Об утверждении производственной программы в сфере холодного водоснабжения, водоотведения и об установлении тарифовна питьевую воду, водоотведение ООО "ЭНЕРГОСЕРВИС г. Гурьевска" (Гурьевский муниципальный округ)" в части 2021 года"
Номер опубликования: 4201202010050005
Дата опубликования: 05.10.2020
Страница №8 из 19:
Увеличить