Официальное опубликование правовых актов
ОФИЦИАЛЬНОЕ ОПУБЛИКОВАНИЕ
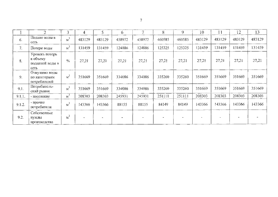
Постановление Региональной энергетической комиссии Кузбасса от 01.09.2020 № 198
"О внесении изменений в постановление региональной энергетической комиссии Кемеровской области от 29.12.2018 № 758 "Об утверждении производственной программы в сфере холодного водоснабжения и об установлении тарифов на питьевую воду ООО "Энергоресурс" (Ленинск-Кузнецкий муниципальный округ)" в части 2021 года"
Номер опубликования: 4201202009020002
Дата опубликования: 02.09.2020
Страница №7 из 17:
Увеличить