Официальное опубликование правовых актов
ОФИЦИАЛЬНОЕ ОПУБЛИКОВАНИЕ
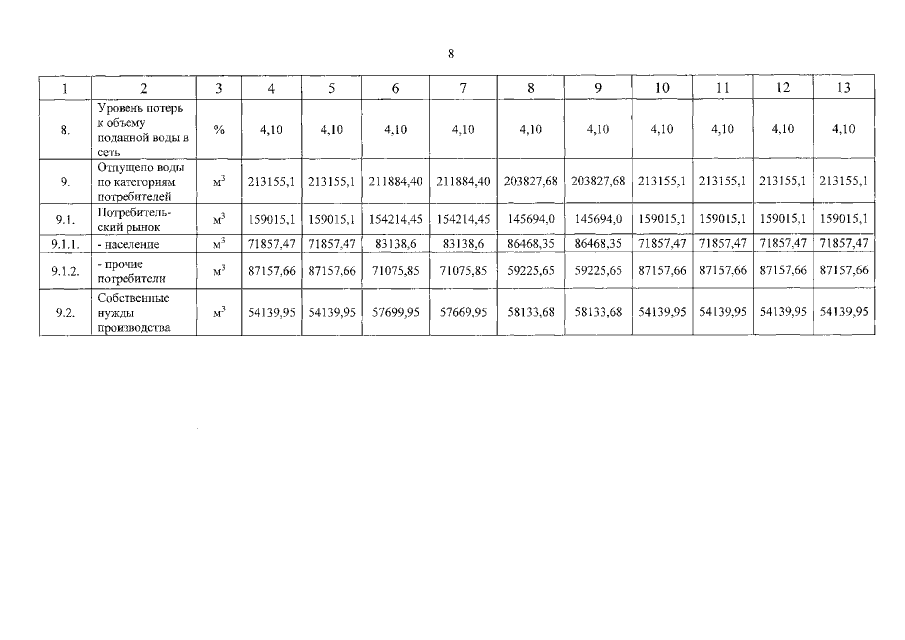
Постановление Региональной энергетической комиссии Кузбасса от 16.07.2020 № 140
"О внесении изменений в постановление региональной энергетической комиссии Кемеровской области от 15.11.2018 № 361 "Об утверждении производственной программы в сфере холодного водоснабжения и об установлении тарифов на питьевую воду ОАО "РЖД" (Ачинская дистанция гражданских сооружений - структурное подразделение Красноярской дирекции по эксплуатации зданий и сооружений - структурного подразделения Красноярской железной дороги - филиал ОАО "РЖД") (Мариинский муниципальный район)" в части 2021 года"
Номер опубликования: 4201202007210003
Дата опубликования: 21.07.2020
Страница №8 из 18:
Увеличить