Официальное опубликование правовых актов
ОФИЦИАЛЬНОЕ ОПУБЛИКОВАНИЕ
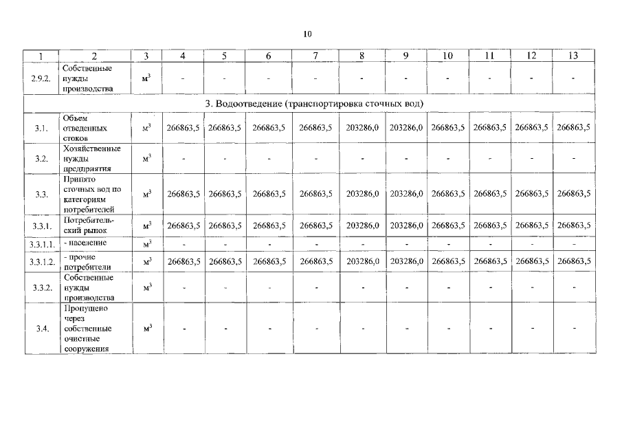
Постановление Региональной энергетической комиссии Кузбасса от 07.07.2020 № 126
"О внесении изменений в постановление региональной энергетической комиссии Кемеровской области от 15.11.2018 № 364 "Об утверждении производственной программы в сфере холодного водоснабжения питьевой водой, технической водой, водоотведения и об установлении тарифов на транспортировку питьевой воды, транспортировку технической воды, транспортировку сточных вод АО "РУСАЛ Новокузнецкий алюминиевый завод" (г. Новокузнецк)" в части 2021 года"
Номер опубликования: 4201202007090001
Дата опубликования: 09.07.2020
Страница №10 из 24:
Увеличить