Официальное опубликование правовых актов
ОФИЦИАЛЬНОЕ ОПУБЛИКОВАНИЕ
Постановление региональной энергетической комиссии Кемеровской области от 05.12.2019 № 545
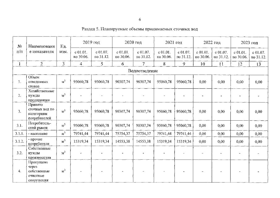
"О внесении изменений в постановление региональной энергетической комиссии Кемеровской области от 11.12.2018 № 465 "Об утверждении производственной программы в сфере водоотведения и об установлении тарифов на водоотведение ООО "ЭНЕРГОРЕСУРС" (Беловский муниципальный район)" в части 2020 года"
Номер опубликования: 4201201912090029
Дата опубликования: 09.12.2019
Страница №6 из 15:
Увеличить