Официальное опубликование правовых актов
ОФИЦИАЛЬНОЕ ОПУБЛИКОВАНИЕ
Постановление региональной энергетической комиссии Кемеровской области от 24.09.2019 № 285
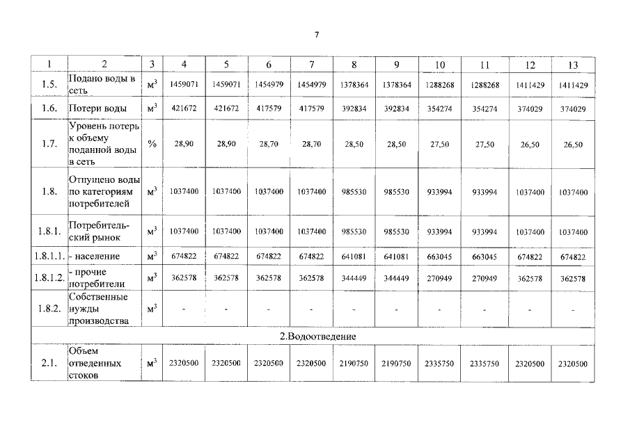
"О внесении изменений в постановление региональной энергетической комиссии Кемеровской области от 31.10.2017 № 311 "Об утверждении производственной программы в сфере холодного водоснабжения питьевой водой, водоотведения и об установлении тарифов на питьевую воду, водоотведение ООО "ВОДОРЕСУРС" (г. Мыски)" в части 2020 года"
Номер опубликования: 4201201909250005
Дата опубликования: 25.09.2019
Страница №7 из 19:
Увеличить