Официальное опубликование правовых актов
ОФИЦИАЛЬНОЕ ОПУБЛИКОВАНИЕ
Постановление региональной энергетической комиссии Кемеровской области от 24.09.2019 № 288
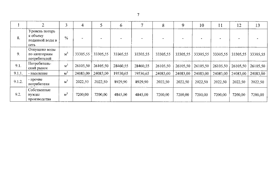
"О внесении изменений в постановление региональной энергетической комиссии Кемеровской области от 25.09.2018 № 214 "Об утверждении производственной программы в сфере холодного водоснабжения и об установлении тарифов на питьевую воду ФГКУ комбинат "Алтай" Росрезерва (Мариинский муниципальный район)" в части 2020 года"
Номер опубликования: 4201201909250004
Дата опубликования: 25.09.2019
Страница №7 из 17:
Увеличить