Официальное опубликование правовых актов
ОФИЦИАЛЬНОЕ ОПУБЛИКОВАНИЕ
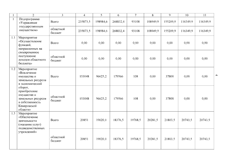
Постановление Правительства Кемеровской области - Кузбасса от 23.05.2019 № 313
"О внесении изменений в постановление Коллегии Администрации Кемеровской области от 24.10.2013 №454 "Об утверждении государственной программы Кемеровской области "Имущественный комплекс Кузбасса" на 2014 - 2021 годы"
Номер опубликования: 4201201905270003
Дата опубликования: 27.05.2019
Страница №4 из 8:
Увеличить