Официальное опубликование правовых актов
ОФИЦИАЛЬНОЕ ОПУБЛИКОВАНИЕ
Постановление Правительства Кемеровской области - Кузбасса от 24.02.2026 № 97
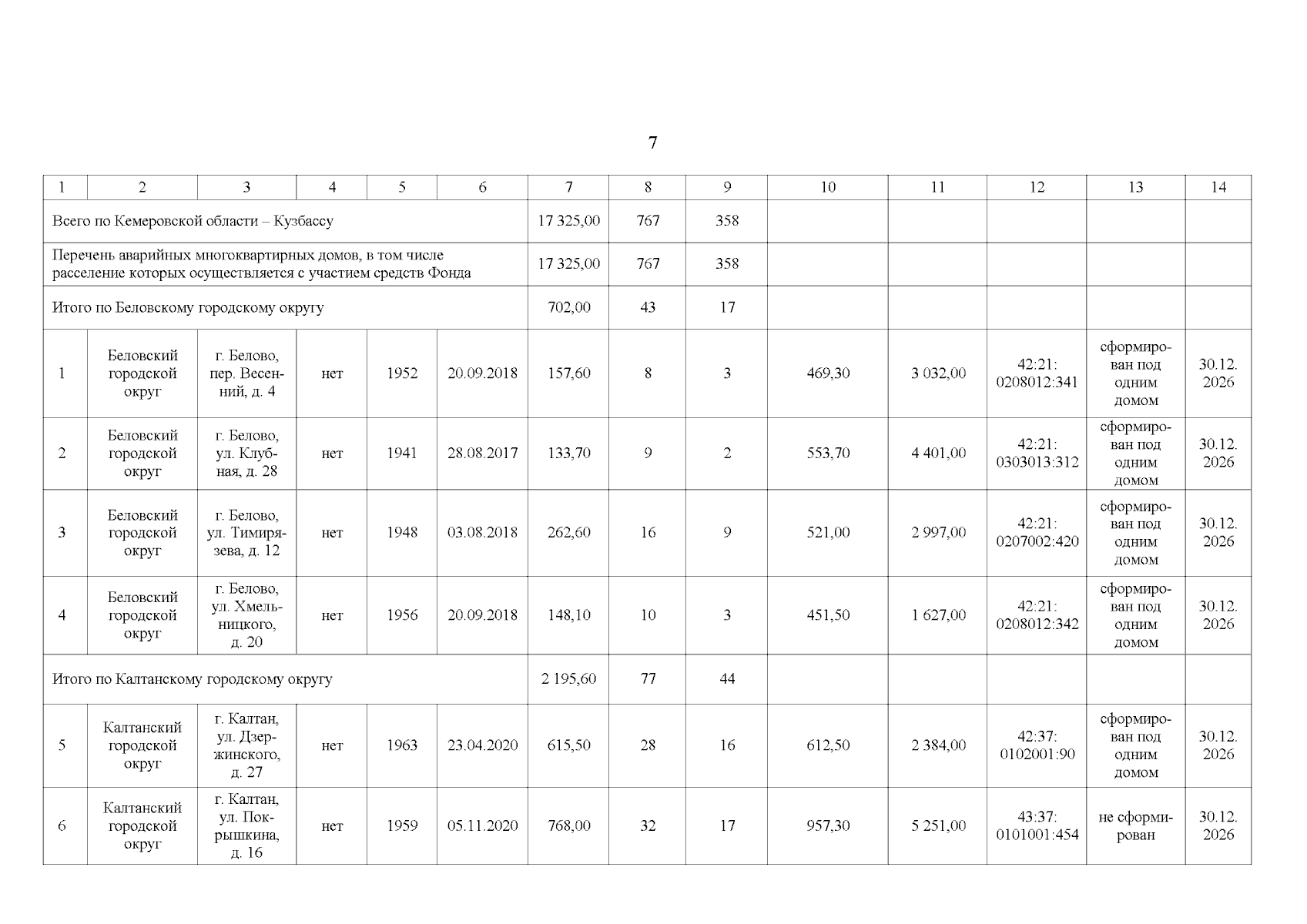
"О внесении изменений в постановление Правительства Кемеровской области — Кузбасса от 1 1.09.2025 № 561 "Об утверждении региональной адресной программы "Переселение граждан из многоквартирных домов, признанных после 01.01.2017 в установленном порядке аварийными и подлежащими сносу или реконструкции" на 2025—2026 годы"
Номер опубликования: 4200202602270002
Дата опубликования: 27.02.2026
Страница №7 из 27:
Увеличить