Официальное опубликование правовых актов
ОФИЦИАЛЬНОЕ ОПУБЛИКОВАНИЕ
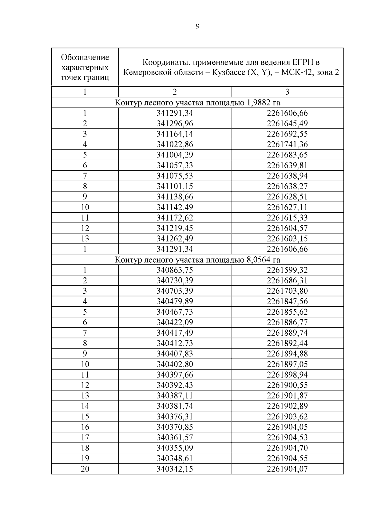
Постановление Правительства Кемеровской области - Кузбасса от 01.11.2025 № 647
"Об изменении площадей и границ земель, на которых расположены леса, указанные в пункте 3 части 1 статьи 114 Лесного кодекса Российской Федерации, Таштагольского лесничества Кемеровской области — Кузбасса"
Номер опубликования: 4200202511060007
Дата опубликования: 06.11.2025
Страница №9 из 17:
Увеличить