Официальное опубликование правовых актов
ОФИЦИАЛЬНОЕ ОПУБЛИКОВАНИЕ
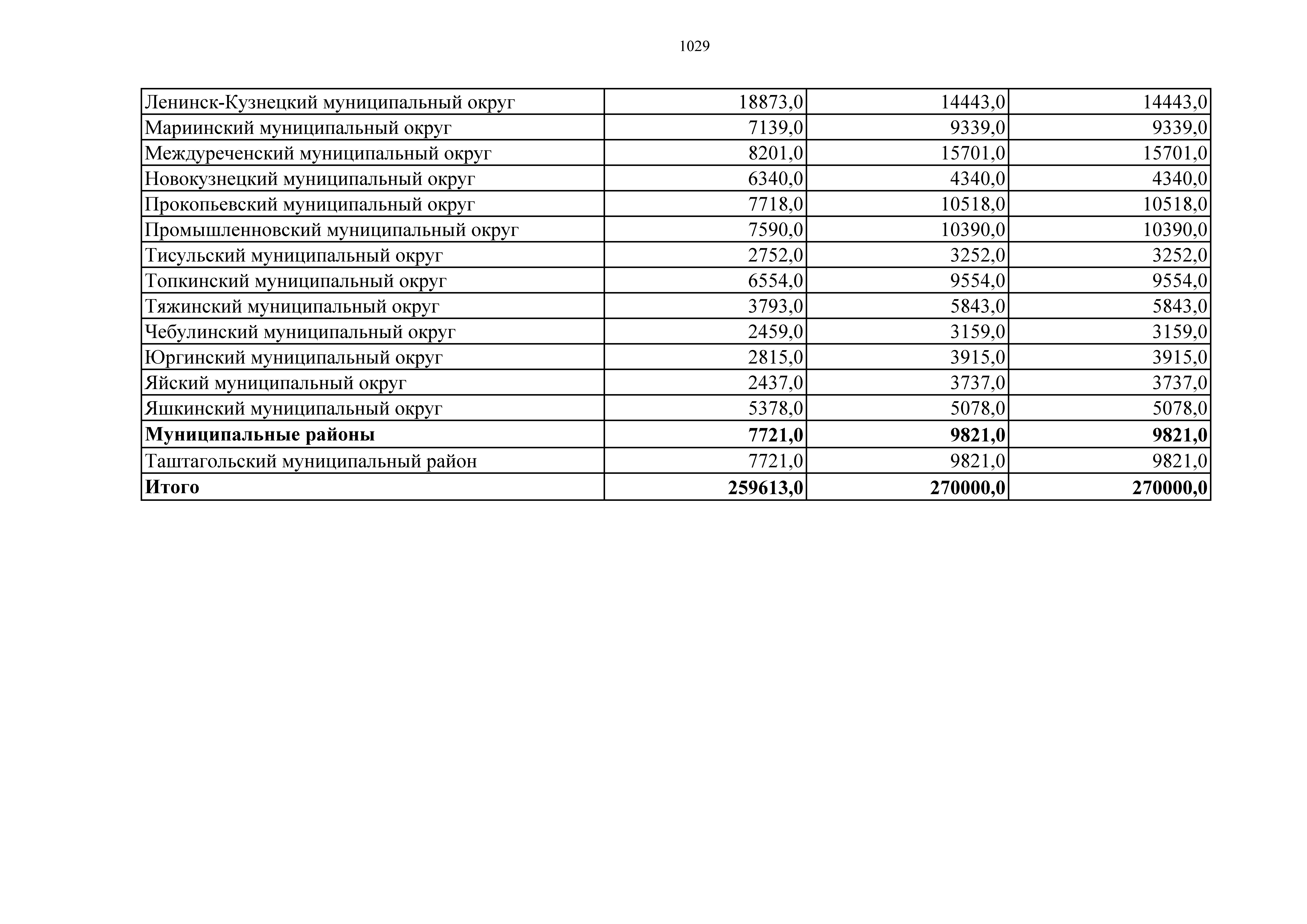
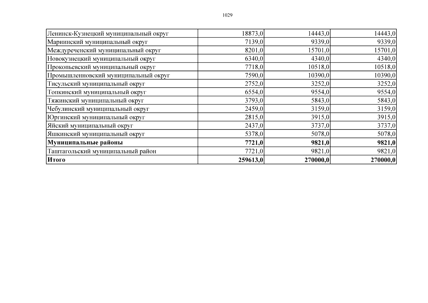
Закон Кемеровской области - Кузбасса от 01.10.2025 № 117-ОЗ
"О внесении изменений в Закон Кемеровской области – Кузбасса "Об областном бюджете на 2025 год и на плановый период 2026 и 2027 годов"
Номер опубликования: 4200202510020001
Дата опубликования: 02.10.2025
Страница №1029 из 1053: