Официальное опубликование правовых актов
ОФИЦИАЛЬНОЕ ОПУБЛИКОВАНИЕ
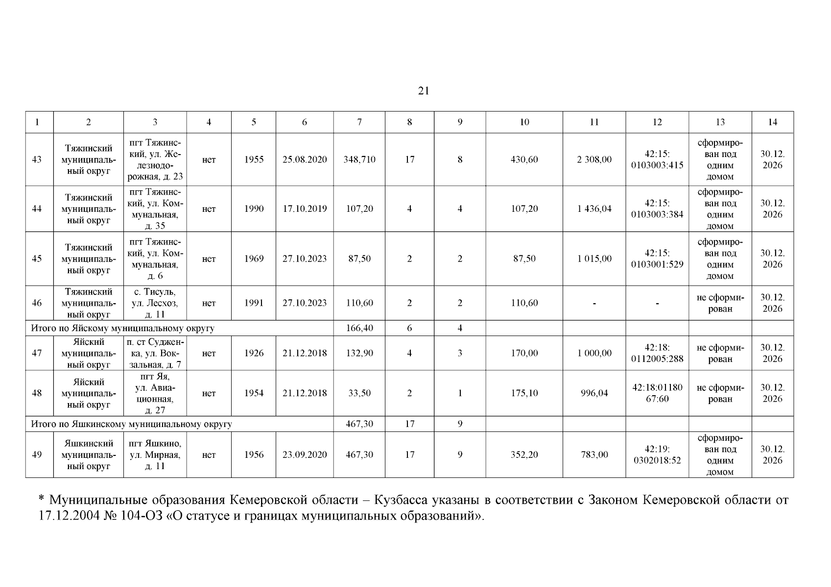
Постановление Правительства Кемеровской области - Кузбасса от 11.09.2025 № 561
"Об утверждении региональной адресной программы "Переселение граждан из многоквартирных домов, признанных после 01.01.2017 в установленном порядке аварийными и подлежащими сносу или реконструкции" на 2025—2026 годы"
Номер опубликования: 4200202509150004
Дата опубликования: 15.09.2025
Страница №21 из 41:
Увеличить