Официальное опубликование правовых актов
ОФИЦИАЛЬНОЕ ОПУБЛИКОВАНИЕ
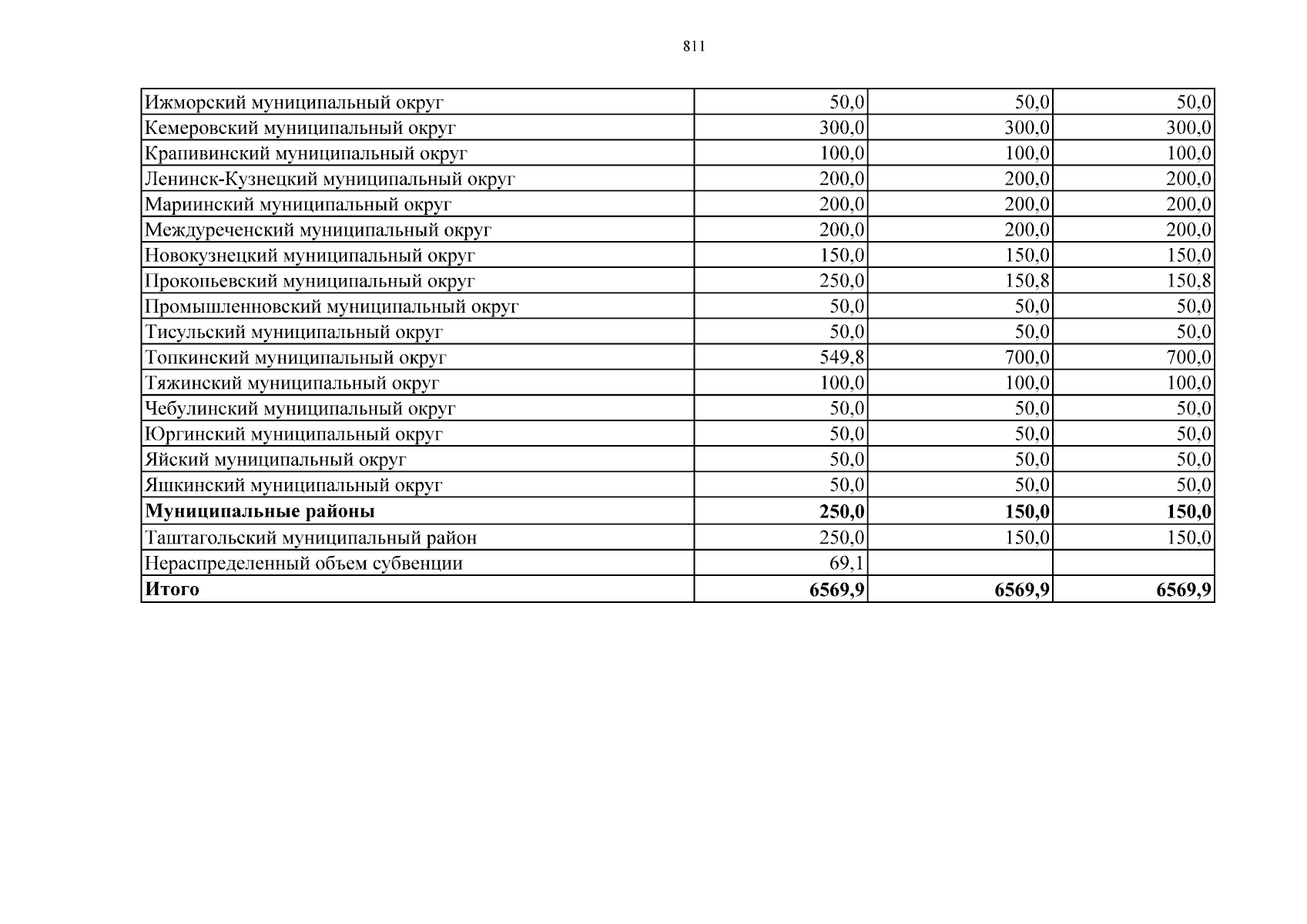
Закон Кемеровской области - Кузбасса от 11.07.2025 № 85-ОЗ
"О внесении изменений в Закон Кемеровской области – Кузбасса "Об областном бюджете на 2025 год и на плановый период 2026 и 2027 годов"
Номер опубликования: 4200202507140010
Дата опубликования: 14.07.2025
Страница №811 из 835: